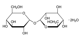
海藻糖(trehalose)的結構
TREHA®是利用酵素法所生產的含水結晶海藻糖(trehalose)。海藻糖是由兩個葡萄糖分子以α、α-1、1鍵結而成的非還原性糖類。甜度僅為砂糖的38%,除了用於製作日式、西式糕點之外,還可用於烹飪、麵包烘焙,用途廣泛。

TREHA®規格
原料標示名稱:海藻糖
TREHA®產品型態:20kg防潮紙袋裝
外觀形態:白色結晶粉末
有效期限:製造日起3年
保存條件:保存於室溫下,避免放置於日光直射、高溫潮溼之處,並請勿過度積載。
安全性、認證(Trehalose物質)
- 通過急毒性、亞慢毒性、致突變性等各項檢驗,確認其安全性。
- 單次攝取過量,可能造成部分體質出現暫時性腹瀉症狀。
- 國際檢驗認證方面,根據國際FAO/WHO聯合食品添加物專家委員會(JECFA)的安全性評估結果,並未刻意設定人體每日可接受攝取量(ADI)。
- 在美國(GRAS)、歐盟(Novel Foods)、中國、台灣等世界各國獲得許可。詳情請填寫詢問單洽詢。

| 項目 | 規格值 |
| 乾燥失重 | 1.5%以下(60°C、5小時、常壓乾燥) |
| 海藻糖 | 98.0%以上(總固形物中) |
| 灰分 | 0.05%以下 |
